





아인슈타인의 상대성이론에 따르면, 우주에서 가장 빠른 속도는 빛의 속도이며 빛의 속도 이상으로 움직일 수 있는 물체는 존재할 수 없다고 한다.
그런데 실제로도 그럴까?
퀘이사 3C 279의 중심부의 전파 사진이다. 왼쪽의 붉은 점이 퀘이사의 본체이고, 오른쪽으로 떨어져 나오는 것이 제트이다. 제트는 2 년만에 10 광년의 거리를 이동했다. 1 광년이 빛이 1년간 이동한 거리이므로, 제트는 빛의 속도의 거의 다섯배 수준의 속도로 움직였음을 알 수 있다.
아인슈타인의 상대성이론대로면 이런 운동은 있을 수가 없다. 그렇다면 상대성이론이 잘못된 것일까?
역사부터 잠깐 설명하자면, 전파천문학이 태동하면서 전파를 이용하여 관측하는 작업이 많이 이루어졌는데, 1960년대부터는 퀘이사처럼 멀리 있는 유명한 전파원들이 확인되기 시작했다.
퀘이사 같은 전파원들은 간섭계를 이용한 정밀 관측으로 크기를 알아내본 결과, 직경이 1 광년도 안되는 협소한 공간에서 은하 수십 개에서 수백 개가 방출하는 에너지와 맞먹는 양의 에너지가 방출된다는 사실을 알아내었다. 당연히 과학자들은 에너지원에 대해 궁금했고, 열띤 논쟁을 벌였다.
가장 그럴듯한 설명으로는 태양 수백만 개보다 더 무거운 블랙홀이 근처의 물질들을 흡수하는 과정에서 엄청난 양의 에너지가 나온다는 것이다. 물론 블랙홀 그 자체는 전파원이 될 수 없다. 대신에 주변에 수백만 도 이상으로 가열된 물질로 구성된 원반에서 빛이 방출된다.

나중에 허블망원경으로 원반의 존재가 발견되는 둥, 블랙홀이 동력원일 것이라는 설은 거의 사실로 확정되었다.
그림처럼 블랙홀의 회전축으로는 아주 큰 에너지를 가진 대전입자들이 방출되는데, 이런 입자들의 흐름을 제트(jet)라고 부른다. 뉴턴역학이 제대로 적용되지 않고 특수상대성이론을 이용해야 할만큼 물체의 운동상태가 빠른 경우를 상대론적(relativistic)이라고 하는데, 제트는 빛의 속도에 가깝게, 즉 상대론적으로 블랙홀의 중력권에서 벗어나게 된다.
1966년, 당시 24살이었던 젊은 천문학자 마틴 리스는 블랙홀이 어떻게 엄청난 양의 에너지를 방출하는 퀘이사의 동력원이 될 수 있는지 연구했었는데, 과정에서 "특정 방향으로 상대론적으로 운동하고 있는 물체는 멀리 있는 관찰자가 보았을 때 물체의 횡속도(transverse velocity)가 빛의 속도보다 훨씬 빠르게 보일 수 있을 것"이라 예측했다.
그리고 1960년대 말에 그의 예측대로 위에서 두번째 사진처럼 빛보다 빠른 운동이 퀘이사나 전파은하의 중심에서 방출되는 제트로부터 관측되었다.
이런 관측 결과는 명백히 특수상대성이론을 부정하는 결과임에도 불구하고, 과학자들은 그리 크게 놀라진 않았다. 이것을 상대성이론으로도 충분히 설명할 수 있기 때문이다. 아이러니하지만, 정말 그렇다. 쉽게 설명하자면, 빛의 속도가 유한하기 때문에 일어나는 현상이다.
제트가 운동할 때, 제트와 제트에서 방출된 빛 사이의 거리는 (빛의 속도-제트의 속도)×시간이 된다.
빛의 속도가 30만 km/s이고, 같은 방향으로 운동하는 제트의 속도가 27만 km/s라고 하자. 어떤 지점 A에 있는 제트에서 방출된 빛이 정지해 있는 관찰자까지 도달하는데 2초가 걸렸다.
이 때 제트는 54만 km만큼 이동해있고, A에서 제트가 관찰자까지 도달하는데 2/0.9초가 걸린다.
남은 (2/0.9 - 2)초 동안 제트가 A에서 관찰자까지 이동하는 모습을 담은 빛이 관찰자에게 도달한다. 즉 제트는 관찰자의 시점에서 약 0.2초만에 60만 km를움직인 것처럼 보인다.
즉 실제로 제트의 속도는 빛의 속도를 넘지 않지만, 관찰자의 관점에서는 겉보기 속도가 빛보다 빠른 것처럼 보인다. 따라서 특수상대성이론에 위배되지도 않고, 상대성이론을 뒤엎는 결과도 아니다.
빛의 속도보다 빠르게 보이는 착시에 대한 정성적인 설명으로는 이렇고, 실제로는 빛의 진행 방향에 대해 비스듬하게 운동할 때 횡속도가 빛보다 빠르게 보이는 것이다. 이에 대해 접근하자면,

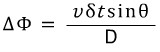
A - 관찰자의 위치
B - 퀘이사의 위치
C - B에서 방출된 제트가 B→C 방향으로 속도 v로 δt의 시간만큼 움직였을 때의 위치
Δφ - A에서 봤을 때 B와 C 사이의 각거리의 탄젠트값
D - C에서 선분 AB에 내린 수선의 발까지의 거리
Δφ는 B나 C나 동일한 선상에 있다고 보므로,

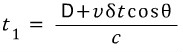
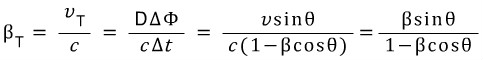
빛의 속도를 c라고 할 때(v 제트가 C에 도달하는 순간을 담은 빛이 A까지 도달하는데 걸리는 시간 t2는 (D가 제트가 움직인 거리보다 압도적으로 클 때 A와 C 사이의 거리는 D와 같다고 볼 수 있다) 둘의 시간차 Δt는 v/c = β 라고 할 때 식을 정리해서 뻥튀기 된 횡속도(vT)를 빛의 속도의 비로 나타낸 값을 βT라고 할 때, θ가 작을수록 더욱 빠르게 보임을 알 수 있다. 예를 들면, 제트의 실제 속도가 0.9c이고 θ가 10도면 횡속도는 1.37c가 된다. 이런 운동을 초광속운동(superluminal motion)이라고 부르지만, 앞에서 말했듯이 실제로 빛보다 빠른 것은 아니고 빛보다 빠르게 보이는 착시현상일 뿐이다. 방출되는 제트가 거의 지구를 조준하고 있는 은하핵의 근처에서 자주 발견되는 현상이다. 빛보다 빠른 물체는 없다고 확신할 수 없겠지만, 아직까지 빛보다 빠른 물체는 발견되지 않았다. 3줄 요약 1. 우주에는 빛보다 빠른 것처럼 보이는 운동이 있다. 2. 빛보다 빠른 물체는 공식적으로 확인된 적이 없다. 3. 김대중 노무현 개새끼 참조


![]()
가 되므로,





